728x90
> 완전탐색 - 백트랙킹, 상태트리와 CUT EDGE / DFS 기초
이진트리의 전위순회와 후위순회 연습하기 (재귀를 통해 DFS 배우기)
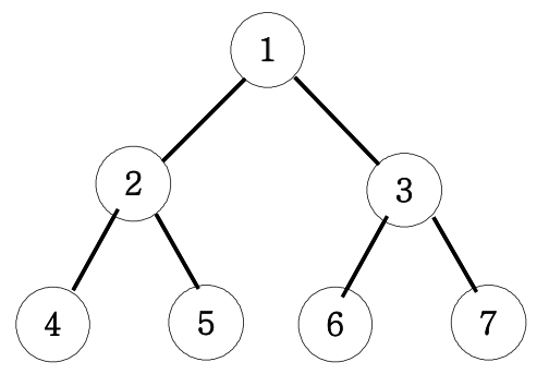
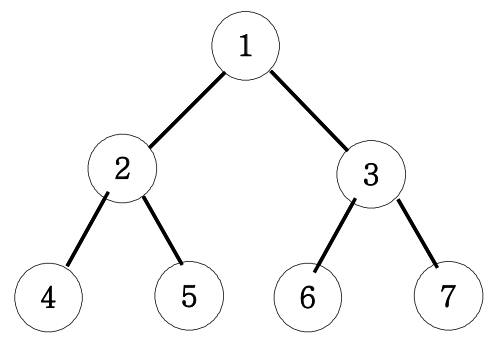
아래 그림과 같은 이진트리를 전위순회와 후위순회를 연습해보세요.

전위순회 출력 : 1 2 4 5 3 6 7
중위순회 출력 : 4 2 5 1 6 3 7
후위순회 출력 : 4 5 2 6 7 3 1
import sys
def DFS(n):
if n>7:
return
else:
print(n, end=" ") # **
# (1)
DFS(n*2) # 왼쪽 자식 노드
# (2)
DFS(n*2+1) # 오른쪽 자식 노드
# (3)
DFS(1)
⭐️ Point ! ⭐️
- 전위순회는 자주 쓰임. 쓰임 빈도: 전위 > 후위 > 중위
- print(n, end=" ") 의 위치에 따라
- 전위순회 : 출력문이 왼쪽,오른쪽 자식 노드 방문 전 (1)에 두면, 부모부터 부-> 왼-> 오
- 중위순회 : (2)에 두면 왼쪽 자식 노드 방문하여 출력 후, 부모 출력, 오른쪽 자식 노드 출력, 왼-> 부-> 오
- 후위순회 : (3)에 두면 부,왼은 그냥 방문 후, 오부터 출력하여 , 오 -> 왼 -> 부
출처
- 인프런 : 파이썬 알고리즘 문제 풀이
728x90
'Algorithm (Python, Java, SQL) > Inflearn Study' 카테고리의 다른 글
| [Python Algorithm] 완전탐색(DFS) - 합이 같은 부분집합(DFS : 아마존 인터뷰) (1) | 2023.03.29 |
|---|---|
| [Python Algorithm] 완전탐색(DFS) - 부분집합 구하기 (1) | 2023.03.29 |
| [Python Algorithm] 완전탐색 - 재귀함수를 이용한 이진수 출력 (1) | 2023.03.29 |
| [Python Algorithm] 자료구조(힙) - 최대힙 (1) | 2023.03.28 |
| [Python Algorithm] 자료구조(힙) - 최소힙 (1) | 2023.03.28 |