728x90
> Dynamic programming(동적계획법) - 플로이드 워샬 알고리즘 : 모든 정점이 모든 정점으로 가는 비용을 구하는 알고리즘 (2차원리스트)
📖 문제 : 플로이드 워샬 알고리즘
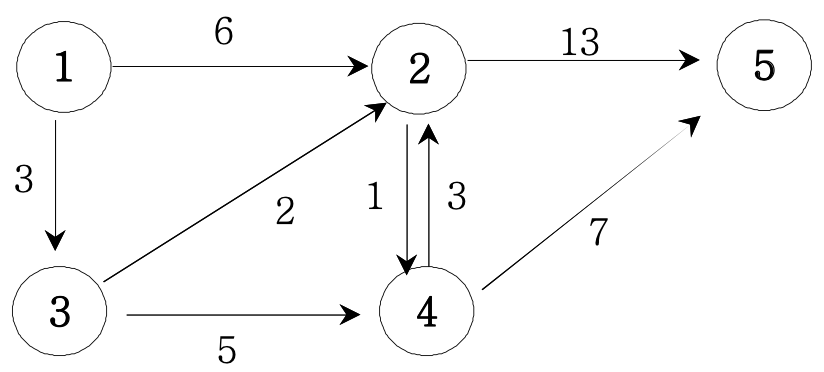
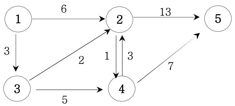
N개의 도시가 주어지고, 각 도시들을 연결하는 도로와 해당 도로를 통행하는 비용이 주어질 때 모든 도시에서 모든 도시로 이동하는데 쓰이는 비용의 최소값을 구하는 프로그램을 작성하 세요.

입력설명
첫 번째 줄에는 도시의 수N(N<=100)과 도로수 M(M<=200)가 주어지고, M줄에 걸쳐 도로정보 와 비용(20 이하의 자연수)이 주어진다. 만약 1번 도시와 2번도시가 연결되고 그 비용이 13이 면 “1 2 13”으로 주어진다.
출력설명
모든 도시에서 모든 도시로 이동하는데 드는 최소 비용을 아래와 같이 출력한다.
자기자신으로 가는 비용은 0입니다. i번 정점에서 j번 정점으로 갈 수 없을 때는 비용을 “M"으 로 출력합니다.
입력예제 1
58 126 133 322 241 2 5 13 345 423 457
출력예제 1
0 5 3 6 13 // 1번 정점에서 2번정점으로 5, 1에서 3번 정점으로 3, 1에서 4번 정점으로 6......
M 0 M 1 8 // 2번 정점에서 1번 정점으로는 갈수 없으므로 “M", .......
M 2 0 3 10
M 3 M 0 7
M M M M 0
코드
if __name__ == "__main__":
n, m = map(int, input().split())
dis = [[5000]*(n+1) for _ in range(n+1)]
for _ in range(m):
a, b, c = map(int, input().split())
dis[a][b] = c
for i in range(n+1):
dis[i][i] = 0
for k in range(1,n+1):
for i in range(1, n+1):
for j in range(1, n+1):
dis[i][j] = min(dis[i][j],dis[i][k]+dis[k][j])
for i in range(1,n+1):
for j in range(1, n+1):
if dis[i][j]==5000:
print('M', end=' ')
else:
print(dis[i][j], end=' ')
print()
Point ! ⭐️
- 3번째 for문이 정점별로 최소 비용을 구하는 반복문인데,
k값(1 ~ n+1) 에 따라서 d[i][j]의 최소비용을 업데이트 시켜가며 구한다.
만약 k = 1이면, d[i][1] d[1][j] 과 d[i][j]의 값 중 최솟값으로 업데이트한다. => 정점 1을 지난다는 것.
k = 3 이면, 1, 2, 3 중에서 사용해가면서 최솟값을 구하는 것 ! 1,2,3 순서가 필수가 아닌 321 213 이 될 수도 123 다 안쓰일 수도 !
출처
- 인프런 : 파이썬 알고리즘 문제 풀이
728x90
'Algorithm (Python, Java, SQL) > Inflearn Study' 카테고리의 다른 글
| [Python Algorithm] Dynamic programming(동적계획법) - 위상정렬(그래프 정렬) (0) | 2023.06.06 |
|---|---|
| [Python Algorithm] Dynamic programming(동적계획법) - 회장뽑기(플로이드-워샬 응용) (0) | 2023.06.06 |
| [Python Algorithm] Dynamic programming(동적계획법) - 최대점수 구하기(냅색 알고리즘) (5) | 2023.06.05 |
| [Python Algorithm] Dynamic programming(동적계획법) - 동전 교환(냅색 알고리즘) (0) | 2023.06.05 |
| [Python Algorithm] Dynamic programming(동적계획법) - 가방문제(냅색 알고리즘) (0) | 2023.06.05 |